Ответы
Ответ дал:
0
Ответ:
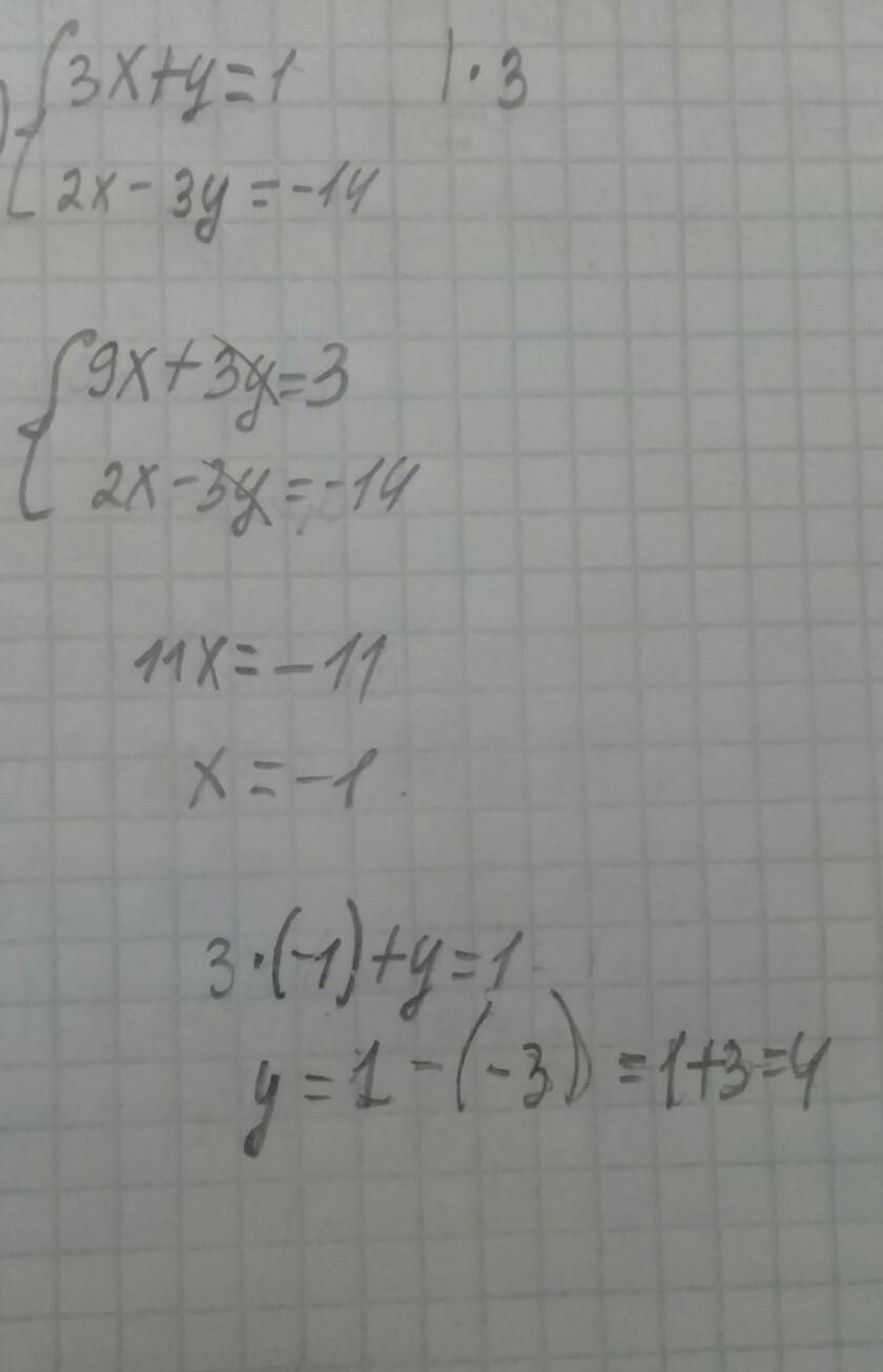
Я сделала вариант А
ты попробуй сделать вариант Б)
Надеюсь все понятно)
Приложения:

Вас заинтересует
2 года назад
8 лет назад
8 лет назад