• Предмет: Алгебра
  • Автор: mishad03
  • Вопрос задан 3 года назад

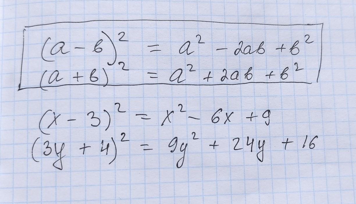
Разложите многочлен используя формулы сокращённого умножения а) (х-3)² б) (3у+4)²​

Ответы

Ответ дал: arsik32
3

Ответ:

Объяснение:

Решение на фото.

Приложения:

mishad03: спасибо
Аноним: да
Вас заинтересует