• Предмет: Алгебра
  • Автор: afonyaf
  • Вопрос задан 3 года назад

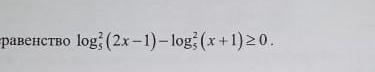
помогите решить пожалуйста срочно, не понимаю​

Приложения:

Ответы

Ответ дал: Miroslava227
0

Ответ:

решение на фотографиях

Приложения:
Ответ дал: lidiasaraa3
0

.-----------------------------

Приложения:
Вас заинтересует