Ответы
Ответ дал:
1
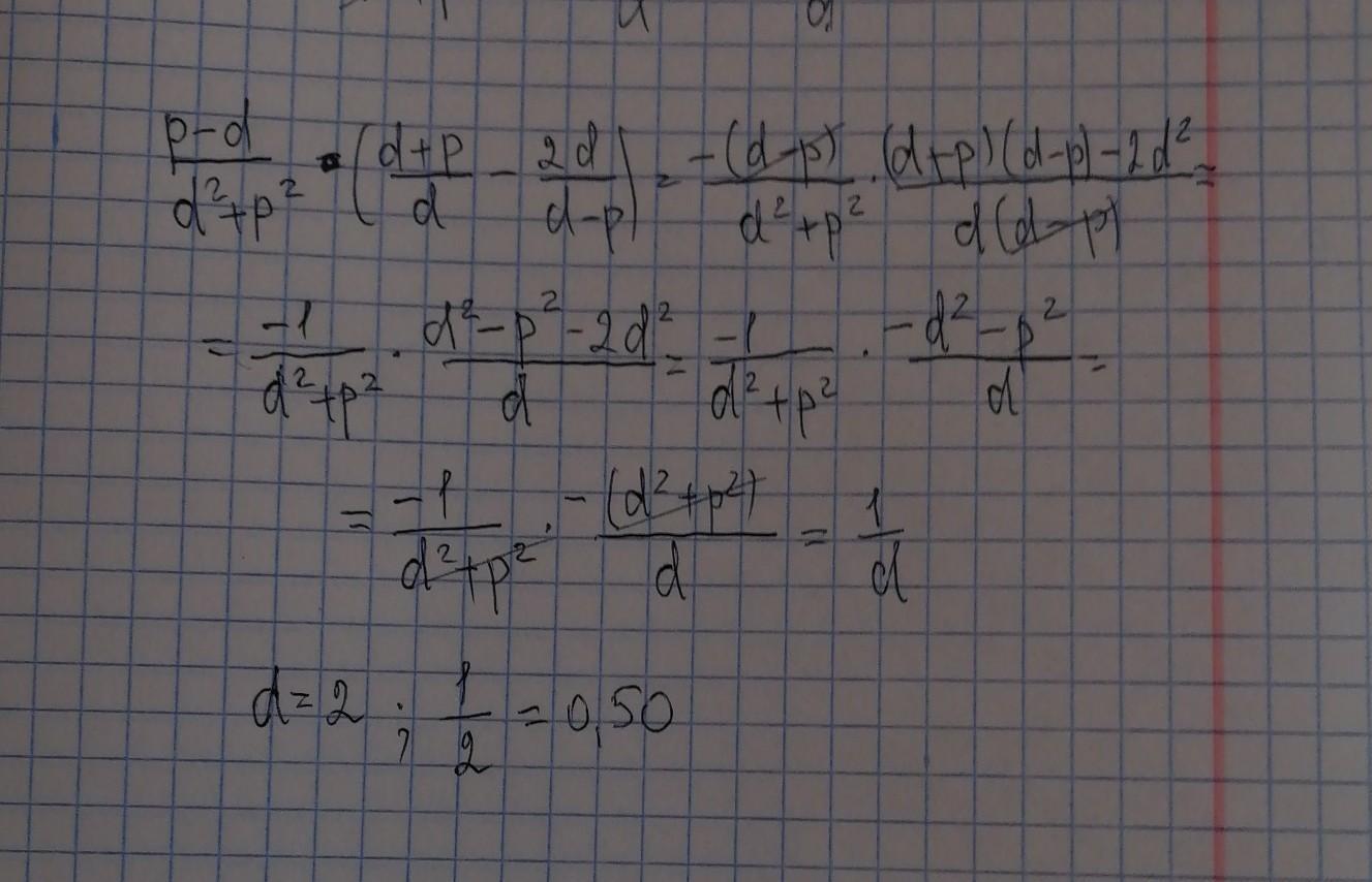
Ответ:
0,5
Пошаговое объяснение:
1) Приводим к одному знаменателю скобку.
2) перемножаем дробь и скобку.
3) приводим подобные.
4) Подставляем значения.
Приложения:

sofyabobrenok1:
спасибо
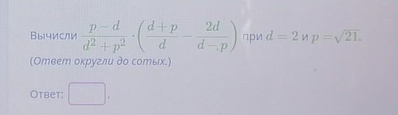
Ответ дал:
1
Пошаговое объяснение:
Решение на фото
_=________-_
Приложения:

Вас заинтересует
2 года назад
2 года назад
2 года назад
2 года назад
8 лет назад
8 лет назад
9 лет назад