• Предмет: Математика
  • Автор: filhetty2
  • Вопрос задан 3 года назад

Помогите подайлуста срочно ставлю 25 балов

Приложения:

evochkaarut2009: а)576m

Ответы

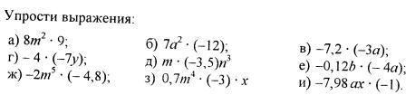
Ответ дал: Darkshaddow
1

Ответ:

a) 72m²

б) -84a²

в) 21.6a

г) 28y

д) -3.5mn

е)  0.48ab

ж) 9.6m^5

з) -2.1xm^4

и) 7.98ax

Пошаговое объяснение:

Ответ дал: evochkaarut2009
0

Ответ: a) 576m

б)-588a

в)21,6а

г)28у

д)-3,5mn³

е) 0,48ab

ж)9,6m⁵

з)-2,1mr⁴x

и) 7,98ax

Пошаговое объяснение:

Вас заинтересует