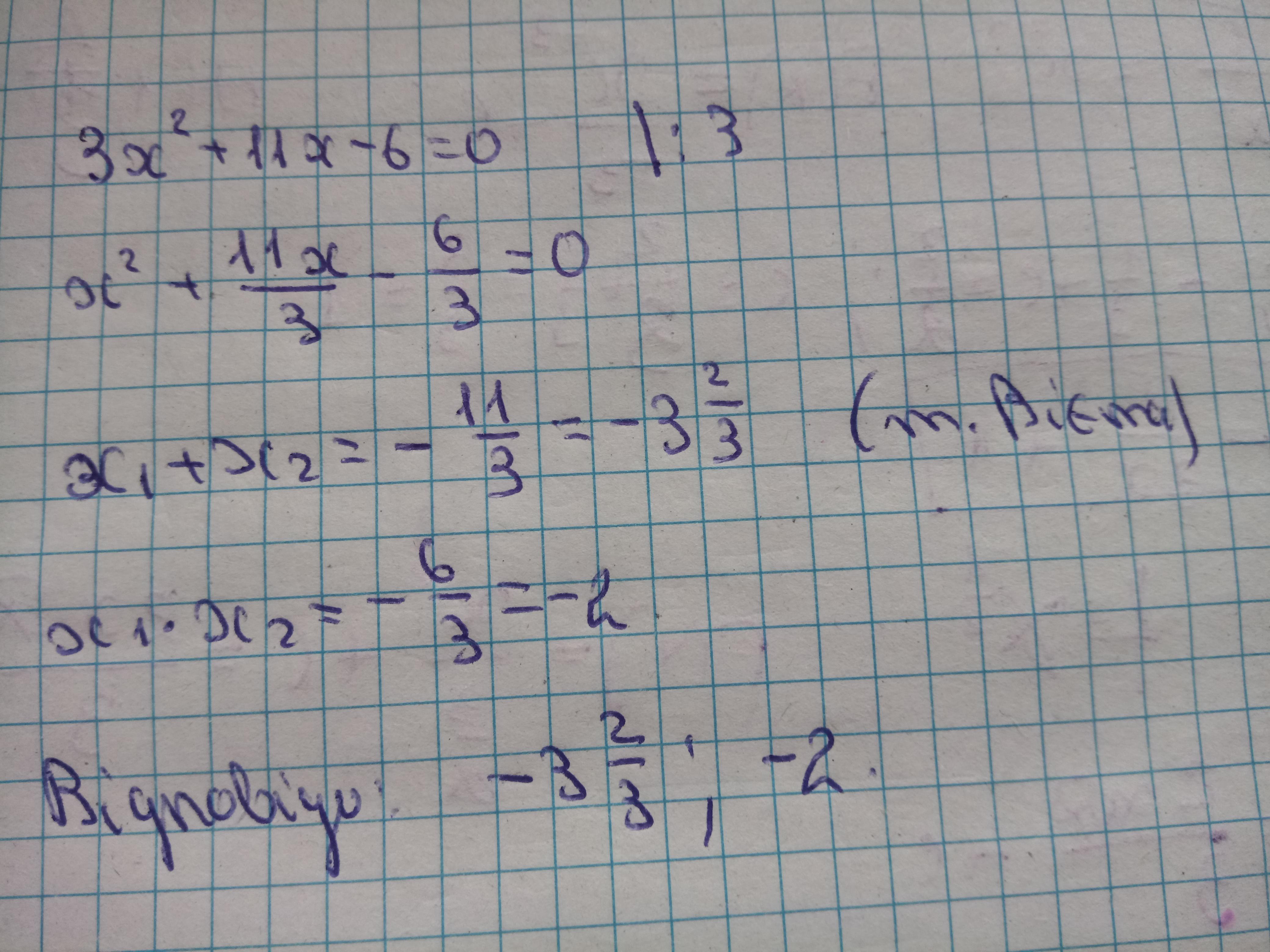
Знайдіть суму і добуток коренів рівннюяня
3x^2+11x-6=0( теорема Вієта) прошу очень нужно объяснения
Ответы
Ответ дал:
2
Відповідь: фото
Пояснення:
Приложения:

viktoriavwvyacheslav:
спасибо большое прибольшое, я очень рада спасибо
Вас заинтересует
2 года назад
2 года назад
2 года назад
2 года назад
8 лет назад