Ответы
Ответ дал:
2
Відповідь:
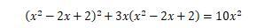
Розв’яжіть рівняння. У відповіді вкажіть найменший корінь
Приложения:


piatkamaks63:
тип ответ -2 ?
Вас заинтересует
2 года назад
2 года назад
2 года назад
2 года назад
8 лет назад
8 лет назад
9 лет назад
9 лет назад