• Предмет: Математика
  • Автор: gachalifememe661
  • Вопрос задан 3 года назад

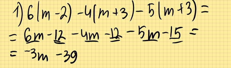
упрастите - 6(m-2)-4(m+3)-5(m+3)упрастите - 6(m-2)-4(m+3)-5(m+3)​

Ответы

Ответ дал: dm1502
2

Ответ:

-3m-39

Пошаговое объяснение:

Для упрощения нужно, раскрыть скобки (Если число перед скобкой с минусом, ставим противоположные знаки во всей скобке), найти подобные, вычислить

Приложения:
Вас заинтересует