• Предмет: Алгебра
  • Автор: aggagagag39
  • Вопрос задан 3 года назад

Помогите с Алгеброй пж пж пж​

Приложения:

Ответы

Ответ дал: allax211255
0

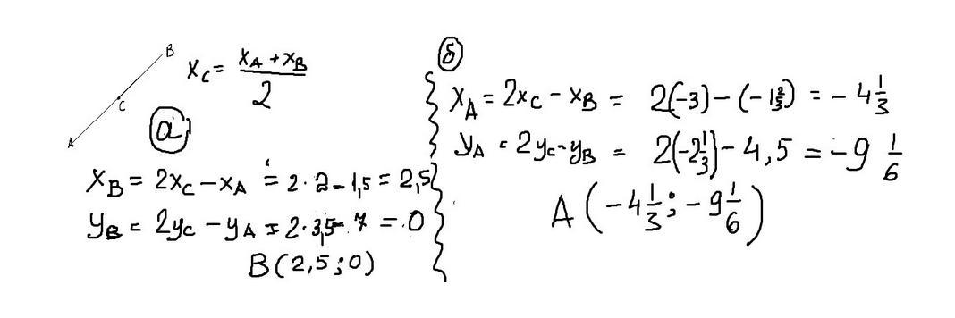
Ответ прикреплён.

Ответ прикреплен снизу

Приложения:
Вас заинтересует