• Предмет: Математика
  • Автор: dragontawer
  • Вопрос задан 3 года назад

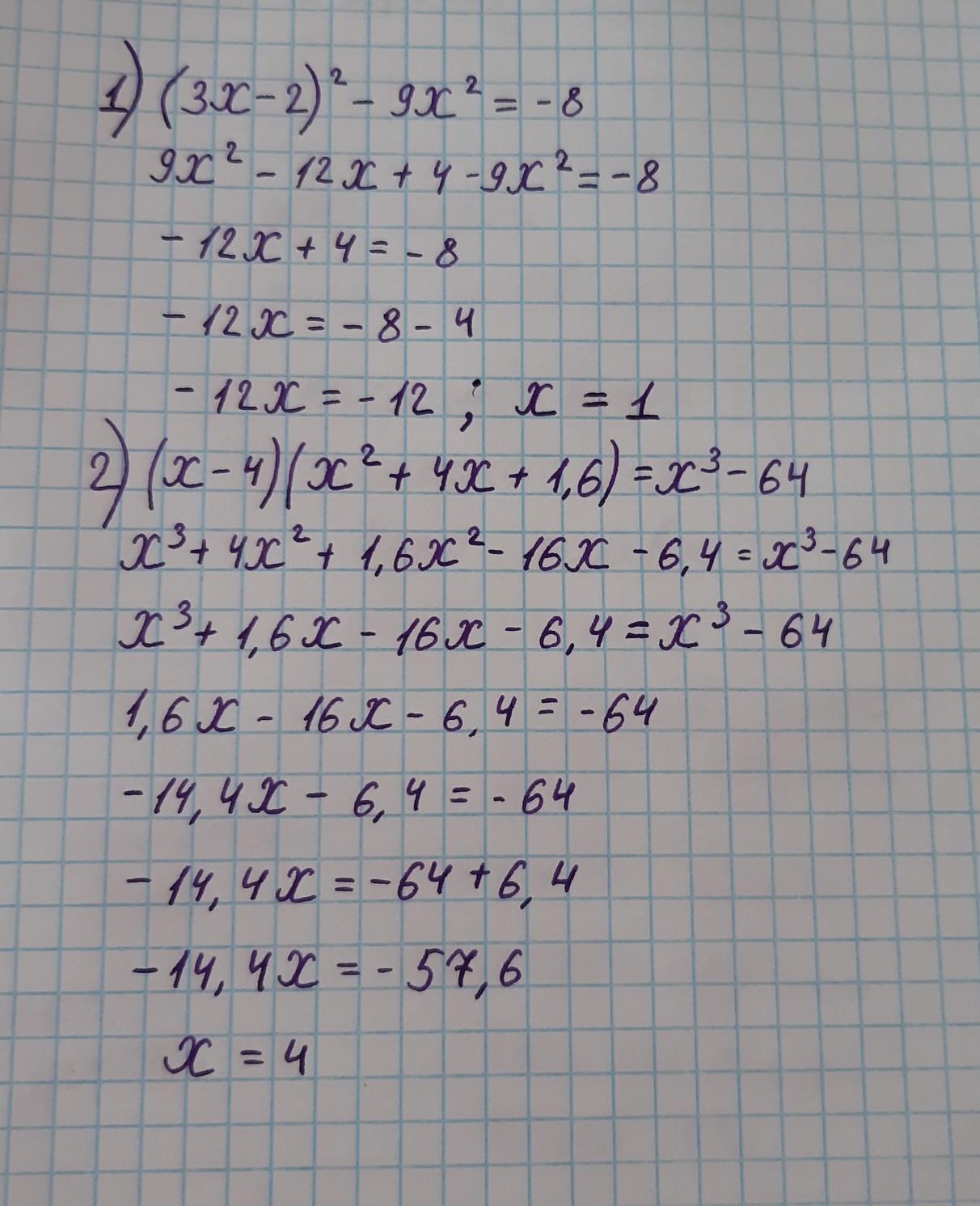
розв’язати рівняння,решить уравнение
(3х–2)^2–9х^2= -8
(х–4)(х^2 +4х+16 ) = х^3 – 64

Приложения:

Ответы

Ответ дал: juliana5476
1

Ответ:

............................

Приложения:
Вас заинтересует