• Предмет: Математика
  • Автор: DianaMosiichuk
  • Вопрос задан 3 года назад

Решите пожалуйста
ДАМ 15 БАЛОВ​

Приложения:

Ответы

Ответ дал: ayreliyasimon
2

Ответ:

вот,надеюсь помогла

Пошаговое объяснение:

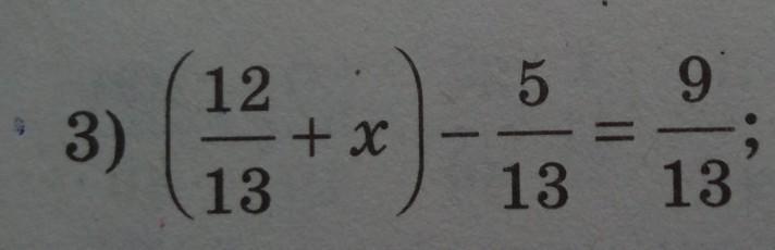
(12/13 + х ) -5/13 = 9/13

12/13+х =9/13+5/13

12/13+х =14/13

х= 14/13-12/13

х=2/13


DianaMosiichuk: Спасибо
ayreliyasimon: ;)
Ответ дал: dnadyushka2005
2

Ответ:

решение на фото

x =  \frac{2}{13}

Приложения:
Вас заинтересует