Дана система линейных уравнений с двумя переменными
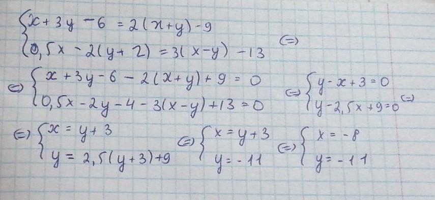
{х+3у-6=2(х+у)-9
{0,5х-2(у+2)=3 (х-у)-13
Определи решение системы.
Приложения:

Ответы
Ответ дал:
1
{х+3у-6=2(х+у)-9
{0,5х-2(у+2)=3 (х-у)-13
Приложения:

Вас заинтересует
2 года назад
2 года назад
8 лет назад
8 лет назад
9 лет назад
9 лет назад
Ответ? что вставлять сюду