• Предмет: Алгебра
  • Автор: azinbekryskulov
  • Вопрос задан 3 года назад

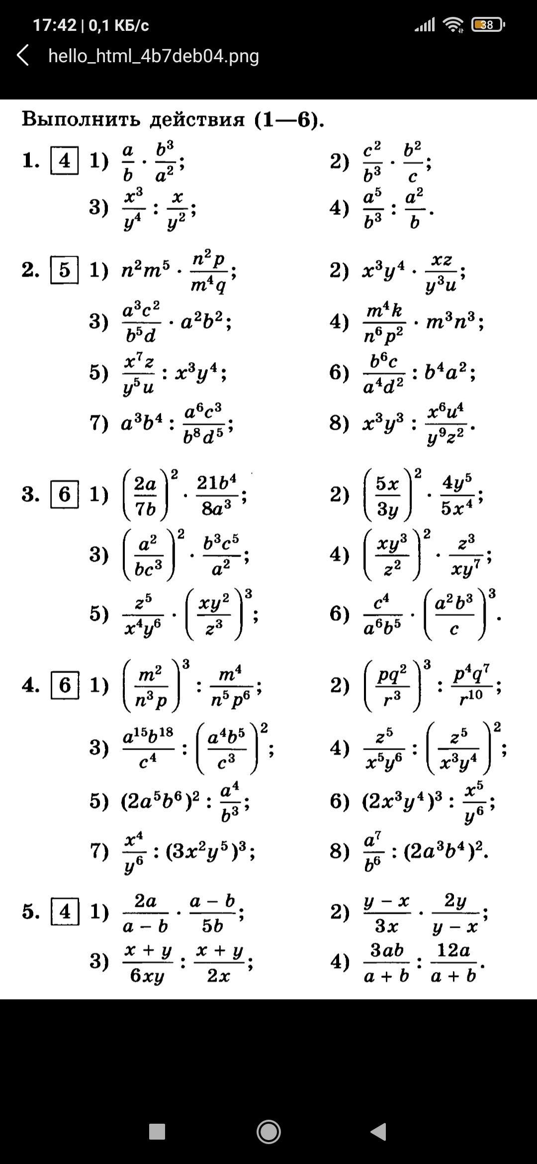
Срочно помогите нужно помощь хотя все что сможите

Приложения:

Ответы

Ответ дал: zirkovadiana2
0

Ответ:

извини

помогла чем смогла :(

Приложения:
Вас заинтересует