Ответы
Ответ дал:
1
Ответ:
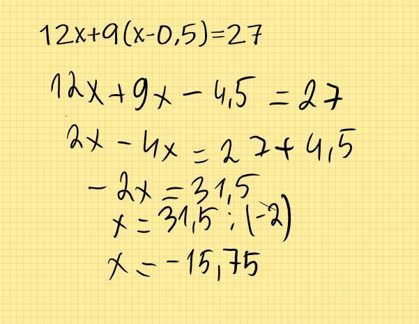
12х+9(х-0,5)=27
х=1,5
Пошаговое объяснение:
Делаем по действиям:
1. Сначала раскрываем скобки, умножая каждый элемент в скобках на 9:
9х-0,5х, теперь уравнение имеет вид
12х+9х-4,5=27
2. Складываем все числа, у которых есть множитель х. Получается 12х+9х=21х, теперь уравнение имеет вид
21х-4,5=27
3. Складываем все числа, у которых нет множителя х. Для этого переносим -4,5 в правую сторону, получается 31,5
4. 21х=31,5
5. чтобы найти х, разделим 31,5 на 21. Получается 1,5
Ответ дал:
1
Ответ:
1) открываем скобки
2) находим подобные
3) неизвестные влево, известные вправо
4) находим х
Приложения:

Вас заинтересует
2 года назад
8 лет назад
9 лет назад