• Предмет: Математика
  • Автор: oliapidpala
  • Вопрос задан 3 года назад

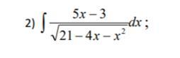
Найти неопределенный интеграл

Приложения:

Ответы

Ответ дал: Rizabekov
0

Ответ:

Скачай приложение Photomatch там может есть ответ на это,либо


Rizabekov: Гд
Rizabekov: зз
Rizabekov: либо
Вас заинтересует