• Предмет: Математика
  • Автор: prostik35
  • Вопрос задан 3 года назад

МАТЕМАТИКА РЕШИ ПЛИЗ

Приложения:

Ответы

Ответ дал: SheilaJun
1

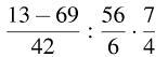
Ответ:

-56/42:56/6*7/4

-56/42:56/6*7/4

-56/42*6/56*7/4

-1/42*6*7/4

-1/7*7/4

-1/4

Ответ: -1/4

Вас заинтересует