• Предмет: Алгебра
  • Автор: life092
  • Вопрос задан 3 года назад

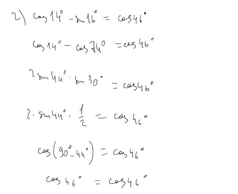
Проверьте справедливость равенства:​

Приложения:

Ответы

Ответ дал: Warlock1
1

Ответ:

так

Объяснение:

Приложения:

life092: спасибо большое.
Warlock1: нзч
Вас заинтересует