• Предмет: Математика
  • Автор: rudevmihail10
  • Вопрос задан 3 года назад

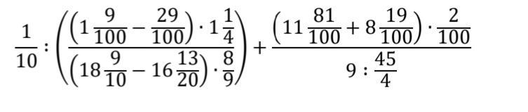
Памагити пазазюзя даю 25 баллов задание сложное. Без спама.

Приложения:

Ответы

Ответ дал: muslimbekabdusalomov
3

Ответ:

 \frac{7}{10}

Приложения:
Вас заинтересует