Ответы
Ответ дал:
6
14x - 51= 12*6x*22y=-11
14x-51=-11
12*6x*22y=-11
x=20/7
12*6x*22y=-11
y=-7/2880
(x,y)=(20/7, -7/2880) (Верно ли равенство)
14*20/7-51=12*6*20/7*22*(-7/2880)=-11
=11=-11=-11
Ответ: (x,y) = (20/7, -7/2880)
Ответ дал:
0
Объяснение:
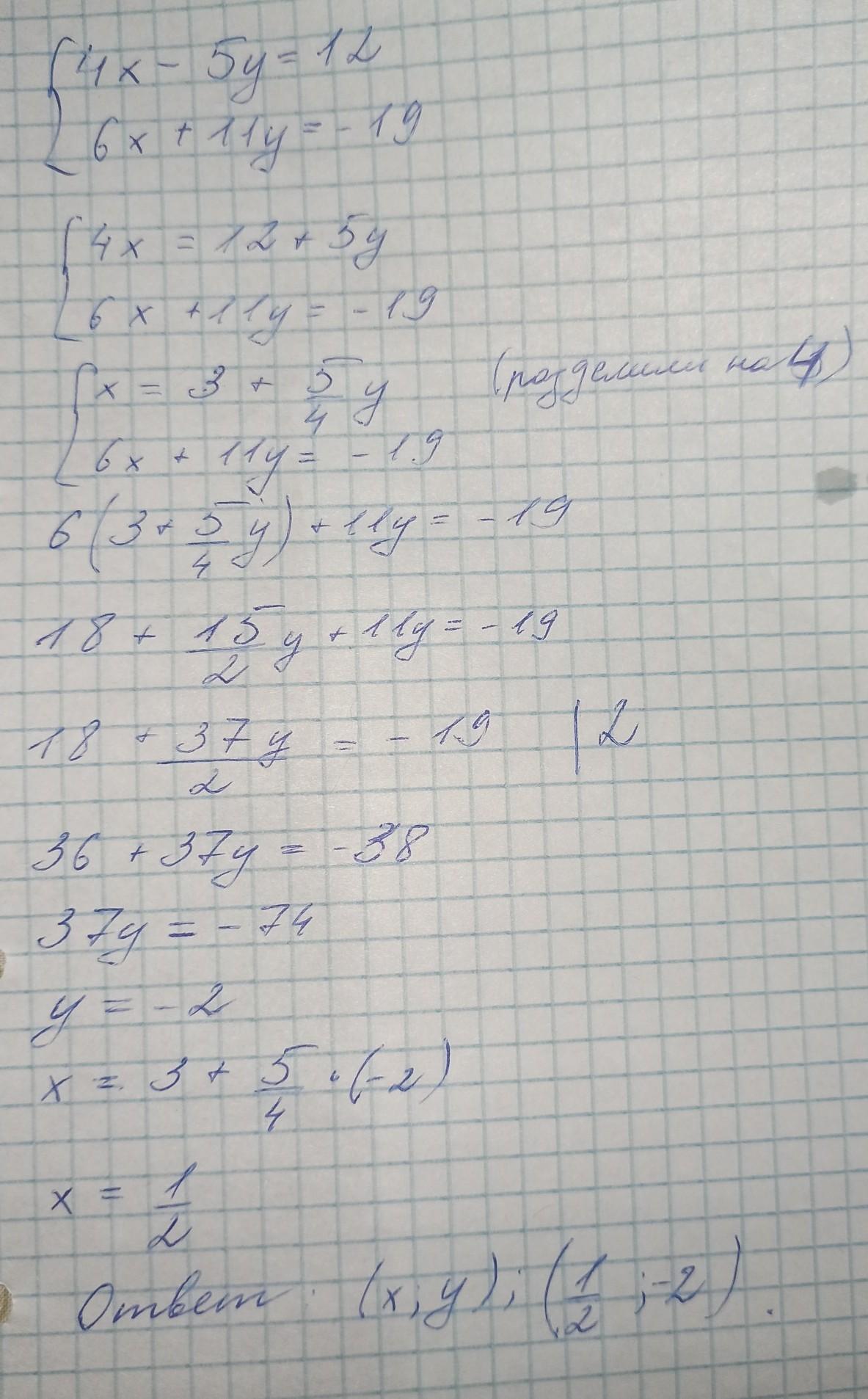
1/2;-2
примерно так вот должно выйти
Приложения:

Вас заинтересует
2 года назад
2 года назад
2 года назад
8 лет назад
8 лет назад
9 лет назад