• Предмет: Алгебра
  • Автор: danbert4444
  • Вопрос задан 3 года назад

Помогите пожалуйста алгебра 10 клас.Хоть что-то ​

Приложения:

Ответы

Ответ дал: Miroslava227
1

Ответ:

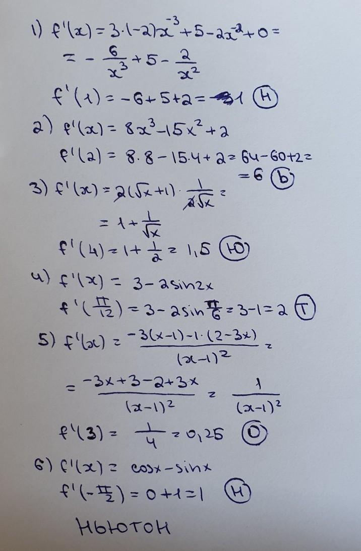
решение на фотографии.

Приложения:

danasamojlova707: Можете помочь?
danbert4444: Добрый человек, помоги пожалуйста, алгебра 10 клас
Вас заинтересует