• Предмет: Физика
  • Автор: sophiyaromanova
  • Вопрос задан 3 года назад

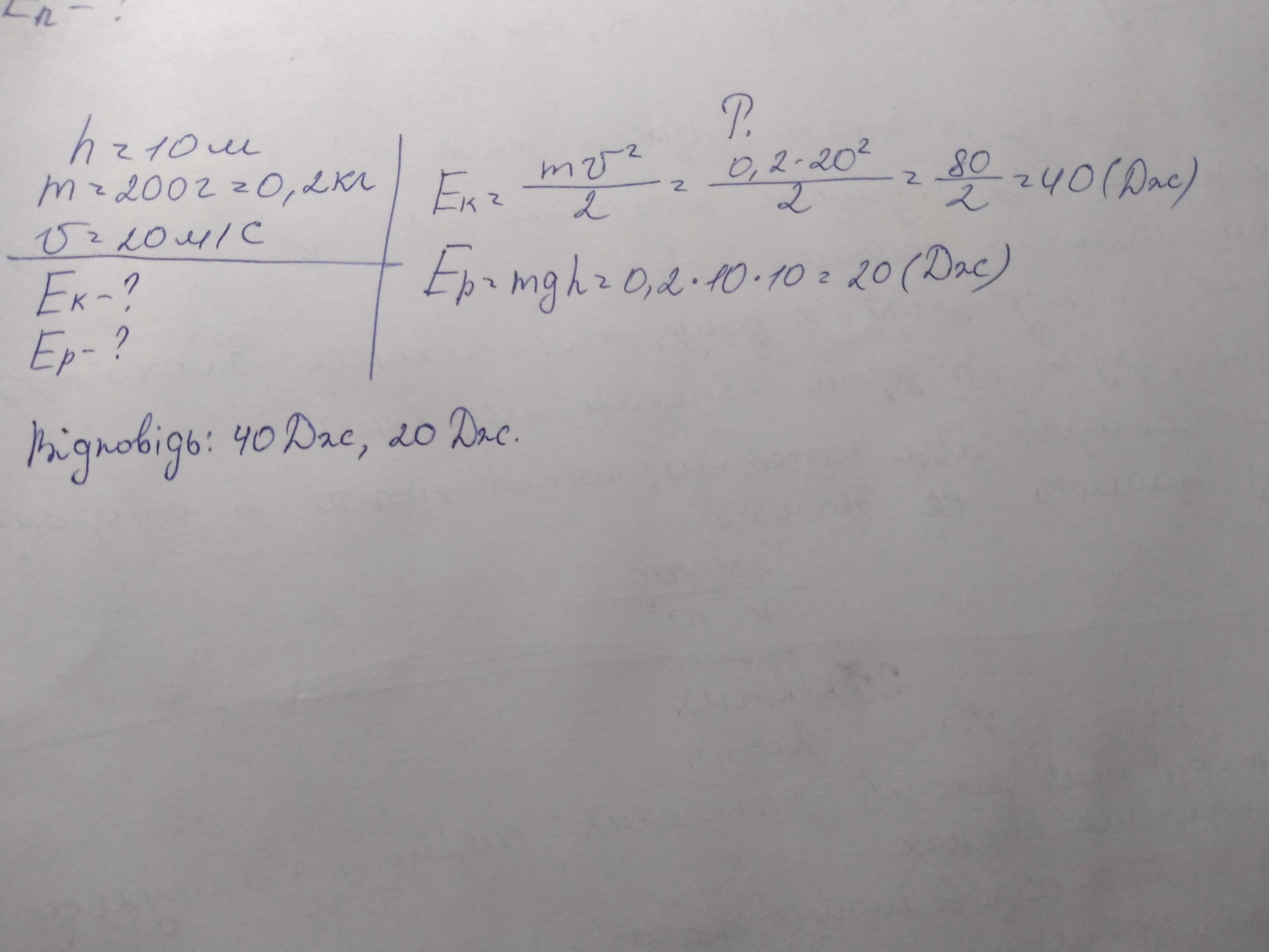
Камінь масою 200 грам кинули вертикально в гору зі швидкістю 20метрів на секунду
визначте Ек і Еп камня на висоті 10 метрів

Ответы

Ответ дал: nastya543073
0

Відповідь:

Прикрепила фото

Пояснення:

Приложения:
Вас заинтересует