В урне 4 белых и 5 черных шаров. Из урны вынимают сразу три шара. Найти вероятность
того, что эти шары будут белые.
(Ctrl) -
Ответы
Ответ дал:
0
Ответ:
одна третья чё так легко
narchukden:
3/9сокрощяем и получается 1/3
Ответ дал:
0
Ответ:
Пошаговое объ
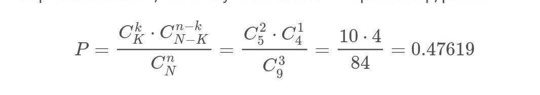
Вероятность того, что вынуто 2 белых и 1 черных шар, равна
Приложения:

Вас заинтересует
2 года назад
2 года назад
2 года назад
2 года назад
8 лет назад
9 лет назад