Ответы
Ответ дал:
1
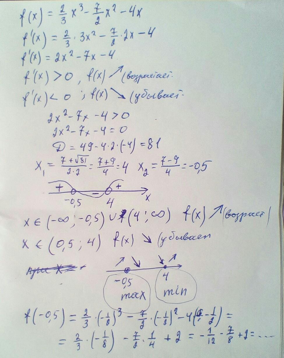
Ответ:
Объяснение:
!!!!!!!!!!!!!!!!!!!!!!!
Приложения:

777788887:
Спасибо!!!
Ответ дал:
0
Ответ:
...........................................................
Приложения:

Вас заинтересует
2 года назад
2 года назад
2 года назад
8 лет назад
8 лет назад
9 лет назад