• Предмет: Алгебра
  • Автор: maksimzieru
  • Вопрос задан 3 года назад

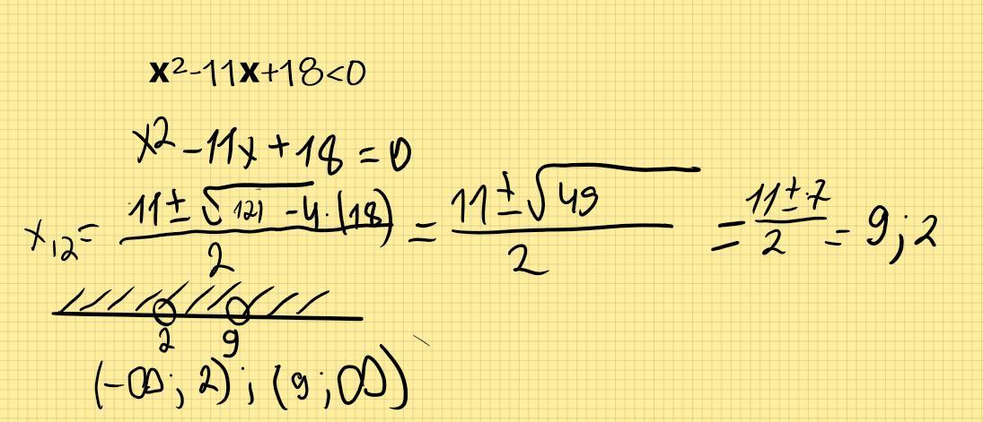
Розв'яжіть нерівність х²-11х+18<0​

Ответы

Ответ дал: dm1502
0

Ответ:

2;9

Объяснение:

Для решения прировняем неравенство к нулю, решим через дискриминант, построим прямую

Приложения:
Вас заинтересует