Ответы
Ответ дал:
0
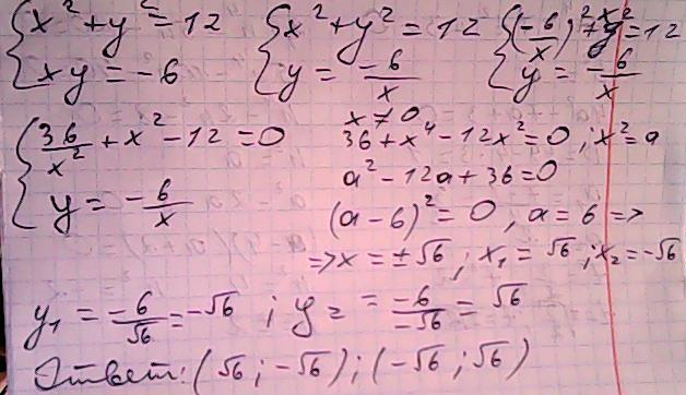
Вот решение........................
Приложения:

Ответ дал:
0
Cпасибо большое)
Ответ дал:
0
я пробовал решить графически, но там корни(
Ответ дал:
0
когда видишь x^2+y^2=z, то r(окружности)=+sqrt{z}, это можно делать, когда корни извлекаются, потом рисуй график обратной пропорционал. (y=-6/x), точки пересечения - решение :)
Вас заинтересует
2 года назад
8 лет назад
8 лет назад
10 лет назад