• Предмет: Алгебра
  • Автор: Аноним
  • Вопрос задан 3 года назад

Помогите пж Даю 40 баллов срочно пж умоляю ​

Приложения:

Ответы

Ответ дал: tatsach
1

Ответ:

Объяснение:

...............

Приложения:

Аноним: Спасибо огромное
tatsach: пожалуйста
Ответ дал: NNNLLL54
2

Ответ:

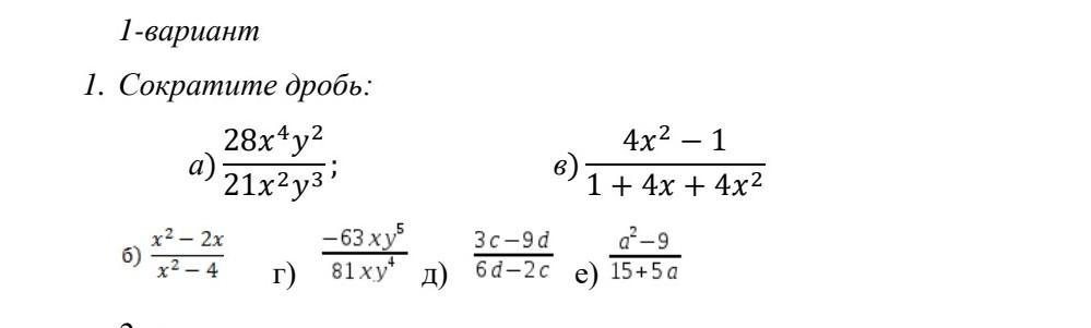
\dfrac{28x^4y^2}{21x^2y^3}=\dfrac{7x^2y^2\cdot 4x^2}{7x^2y^2\cdot 3y}=\dfrac{4x^2}{3y}\\\\\\\dfrac{4x^2-1}{1+4x+4x^2}=\dfrac{(2x-1)(2x+1)}{(2x+1)^2}=\dfrac{2x-1}{2x+1}\\\\\\\dfrac{x^2-2x}{x^2-4}=\dfrac{x(x-2)}{(x-2)(x+2)}=\dfrac{x}{x+2}\\\\\\\dfrac{-63xy^5}{81xy^4}=-\dfrac{7y}{9}\\\\\\\dfrac{3c-9d}{6d-2c}=\dfrac{3\, (c-3d)}{-2(c-3d)}=-\dfrac{3}{2}=-1,5\\\\\\\dfrac{a^2-9}{15+5a}=\dfrac{(a-3)(a+3)}{5(a+3)}=\dfrac{a-3}{5}


Аноним: Спасибо
Аноним: огромное
Вас заинтересует