• Предмет: Математика
  • Автор: viktoriasujeukenova
  • Вопрос задан 3 года назад

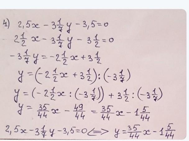
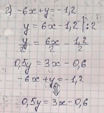
можно пожалуйста 1230 номер с решением

Приложения:

Ответы

Ответ дал: 6778950
1

Ответ:

аатвовлвбатсолалвивмв

Приложения:
Вас заинтересует