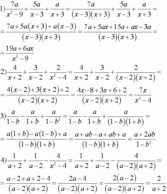
1) 7а/х²-9+5а/х-3+а/х+3=
2) 4/х+2+3/х-2-х+2/х²-4=
3) а/1-б-а/1+б+а/1-б²=
4) 1/а+2+1/а-2-4/а²-4=
Помогите пожалуйста решить, срочно нужно, буду очень благодарна!
Ответы
Ответ дал:
2
Відповідь:
Пояснення:
Приложения:

Ответ дал:
1
Ответ:
1) =7а\х^2-9+5а\х+а\х
7а-9х^2+5а\х+ах\х^2
7а-9х^2+6ах\х^2
2)=4х+3х-х^3+2-4х^2
7х-х^3+2-4х^2\х^2
-х^3-4х^2+7х+2\х^2
3)= я не знаю это,извини, но знаю что там а-б^2
4)= 2\а-4\а^2-4
2а-4-4а^2
-4а^2+2а-4\а^2
Объяснение:
Вас заинтересует
2 года назад
2 года назад
2 года назад
8 лет назад
9 лет назад
9 лет назад