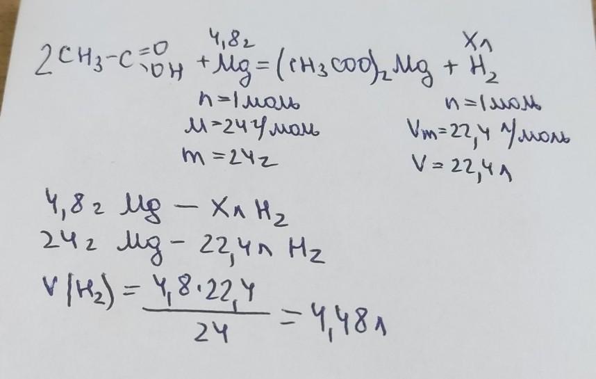
Обчисліть і вкажіть об’єм газу в л (н. у.), який виділиться, якщо 4,8 г магнію помістити в розчин оцтової кислоти взятому в надлишку.
Відповідь: 4,48 л; 4,48; 4.48; 4.48 л
Так и пишите
annauzopolska:
Да
Ответы
Ответ дал:
2
Ответ:
ответ смотри во вложении
Приложения:

Вас заинтересует
2 года назад
2 года назад
2 года назад
8 лет назад
9 лет назад