Ответы
Ответ дал:
1
Ответ:
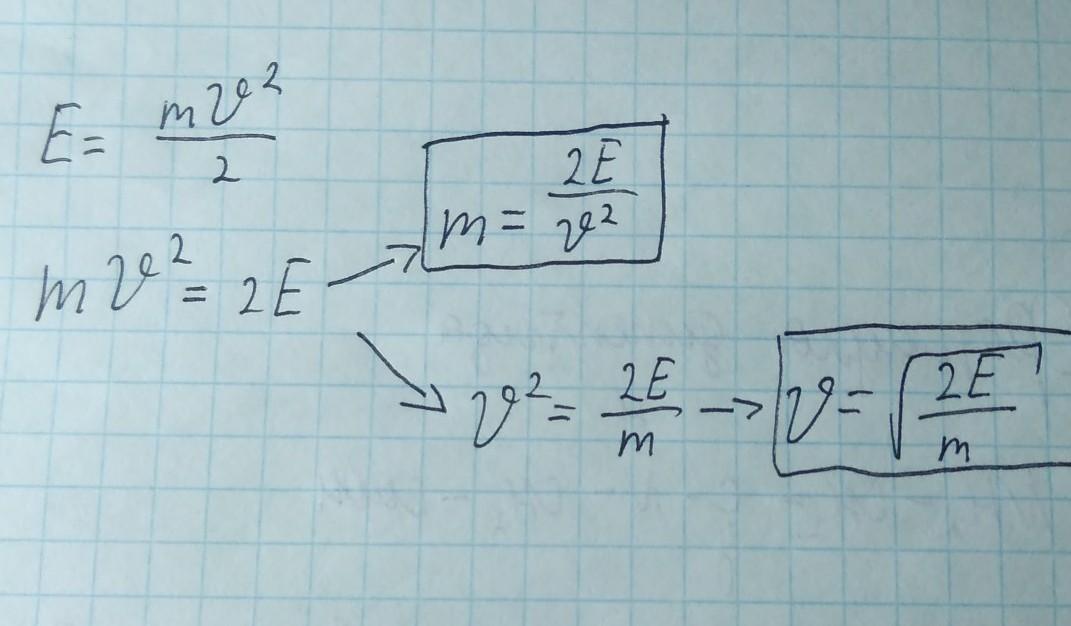
Вот, как то так должно быть
Приложения:

Hovala:
Спасибо :)
Вас заинтересует
2 года назад
8 лет назад
9 лет назад
9 лет назад