• Предмет: Математика
  • Автор: polinasm27
  • Вопрос задан 3 года назад

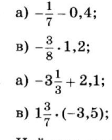
СРОЧНО ПЛИЗ,С РЕШЕНИЕМ​

Приложения:

ArsenBalabek: мало баллов для задачи с решением

Ответы

Ответ дал: asuskov232
0

_-*: двлвтвтвлдвжвжвжвжвддвжвжв

Вас заинтересует