• Предмет: Математика
  • Автор: ainela26
  • Вопрос задан 3 года назад

пж помогите,напишитте как один пример в строчку и решентя пж,​

Приложения:

Ответы

Ответ дал: Prostoni4ego
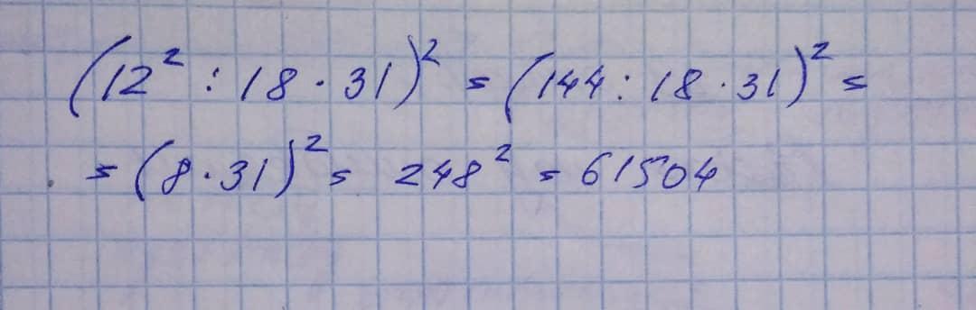
1

Лови, человечек :з

Надеюсь я правильно понял и смог помочь

Приложения:
Ответ дал: hadoshikah
0
Как я поняла тут нужно:
12*12/18*31=248*248=61.504
Я незнаю, но 2 сверху это наверно квадраты
Вас заинтересует