• Предмет: Математика
  • Автор: liza6class00
  • Вопрос задан 3 года назад

Помогите пожалуйста ОЧЕНЬ СРОЧНО!, Даю 50 баллов. 6 класс. Всё на фото!
3,4 ОБЯЗАТЕЛЬНО! 1,2 КТО КАК СМОЖЕТ! Ответьте пожалуйста до 21:20, очень нужно!!! ​

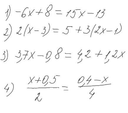
Приложения:

Ответы

Ответ дал: jekadva
0

Ответ:

Пошаговое объяснение:

-6x + 8 = 15x - 13

15x + 6x = 8+13

21x = 21

x = 21:21

x = 1

=============

2(x - 3) = 5 + 3(2x - 1)

2x - 6 = 5 + 6x - 3

2x - 6 = 2 + 6x

6x - 2x = -6 - 2

4x = -8

x = -8 : 4

x = -2

===============

3,7x - 0,8 = 4,2 + 1,2x

3,7x - 1,2x = 4,2 + 0,8

2,5x = 5

x = 5 : 2,5

x = 2

===============

(x + 0,5)/2 = (0,4 - x)/4

4*(x + 0,5) = 2*(0,4 - x)

4x + 2 = 0,8 - 2x

4x + 2x = 0,8 - 2

6x = -1,2

x = -1,2 : 6

x = -0,2

===============

Вас заинтересует