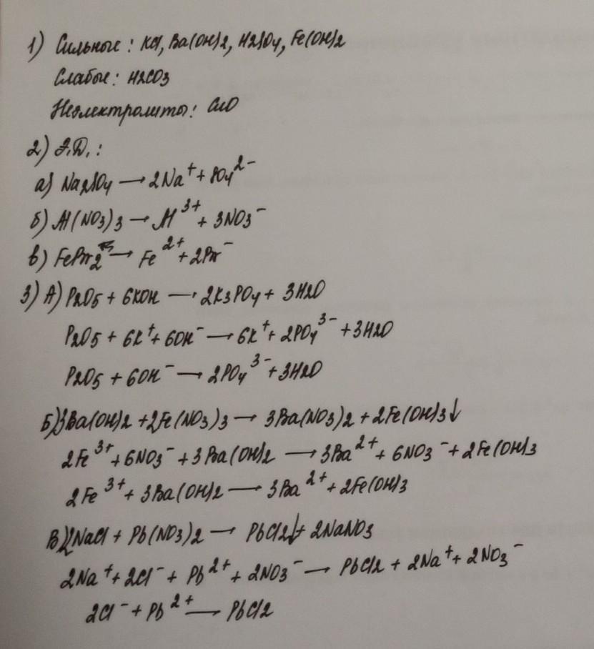
Из приведенного перечня веществ выпишите формулы веществ, которые относятся к слабым электролитам, сильным электролитам или неэлектролиты
KCl, Ba(OH)2, H2CO3, CuO, H2SO4, Fe(OH)2.
Запишите уравнения электролитической диссоциации веществ: а) сульфата натрия; б) нитрата алюминия; в)бромида железа (II).
Закончите молекулярное уравнение химической реакции, составьте для них ионные уравнения:
А) оксид фосфора( V)+ гидроксид калия=
Б) гидроксид бария + нитрат железа (III)=
В) хлорид натрия+ нитрат свинца=
Ответы
Ответ дал:
2
Ответ:
Ответы прикреплены. Надеюсь, что всё понятно.
Приложения:

Вас заинтересует
2 года назад
2 года назад
2 года назад
8 лет назад
9 лет назад