Ответы
Ответ дал:
0
Ответ:
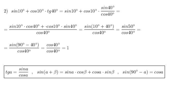
Приложения:



Аноним:
спасибо! скажите, а как посчитать ctg 315?
Вас заинтересует
2 года назад
2 года назад
2 года назад
8 лет назад
8 лет назад
9 лет назад