• Предмет: Алгебра
  • Автор: katerinakerinova61
  • Вопрос задан 3 года назад

Розв'яжіть рівняння
Х⁴–8Х²+7=0


ViktorShahter: Там со знаками точно ничего не попутано? Ответ бредовым получается.

Ответы

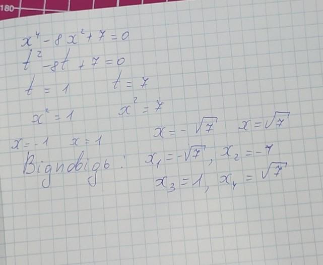
Ответ дал: kateaskripkaru
1

Ответ:

Тримай, надеюсь допомогла

Приложения:
Ответ дал: artemtaranenko2807
0

Ответ:

1, -1, √7, -√7

Объяснение:

Робимо заміну змінної.

Нехай x²=a

Тоді маємо таке рівняння:

a²-8a+7=0

D=64-4*7=64-28=36

a1= 8+6/2=14/2=7

a2=8-6/2=1

x²=7 або x²=1

x1= -√7      або    x1=1

x2=√7      або     x2= -1

Відповідь: (1, -1, √7, -√7) або по іншому відповідь записується, як вас там у школі вчать

Вас заинтересует