Ответы
Ответ дал:
1
Ответ:
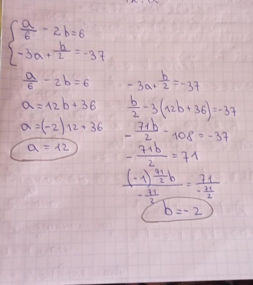
Решение системы управления
Приложения:

natalia6363:
Большое Спасибо
Вас заинтересует
2 года назад
2 года назад
8 лет назад
8 лет назад
9 лет назад