• Предмет: Алгебра
  • Автор: natsha999
  • Вопрос задан 10 лет назад

Выполнить действия:
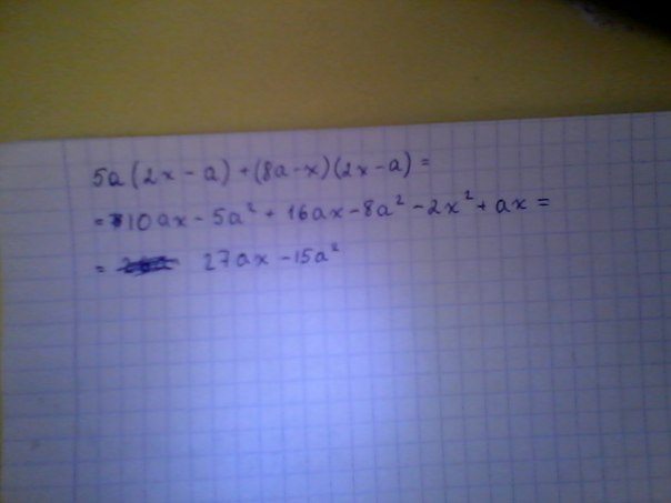
 5а(2х-а)+(8а-х)*(2х-а)=

Ответы

Ответ дал: alinka03021998
0
вот,короче так..
удачи! ;)
Приложения:
Ответ дал: trekotusha01
0
10ах-5а в квадрате +16ах-8а в квадрате -2х в квадрате +ах=27х-13а в квадрате -2х в квадрате
Приложения:
Вас заинтересует