• Предмет: Математика
  • Автор: kas2k123
  • Вопрос задан 3 года назад

Помогите мне пожалуйста даю 30 баллов​

Приложения:

Ответы

Ответ дал: AlexeiDobrov
0

Ответ:

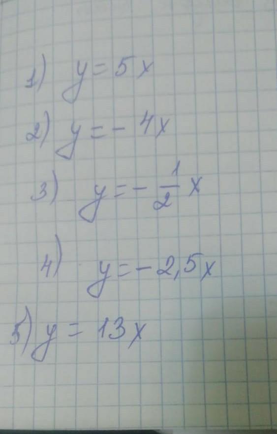
1) y=5x

0=5x

5x=0

x=0

2) y=-4x

0=-4x

-4x=0

x=0

3) y=-1/2x

0=-1/2x домножаем обе части уравнения на 2

0=x

x=0

4) y=-2,5x

0=-2,5x

-2,5x=0

x=0

5) y=13x

0=13x

13x=0

x=0


AlexeiDobrov: Ссори, что график не нарисовал мне лень просто
kas2k123: ок спс
Вас заинтересует