• Предмет: Алгебра
  • Автор: julianawhitedream
  • Вопрос задан 3 года назад

ПОМОГИТЕ СРОЧНО
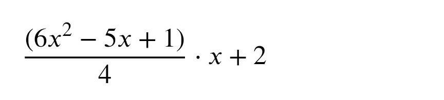
(6x²-5x+1)/4x+2


rodik2004: Здесь = 0 или просто надо сократить?

Ответы

Ответ дал: unicornbitch73
2

Объяснение:

воот ответ на фоте если правильно поставь лайк плис;)

Приложения:
Вас заинтересует