Ответы
Ответ дал:
1
Ответ:
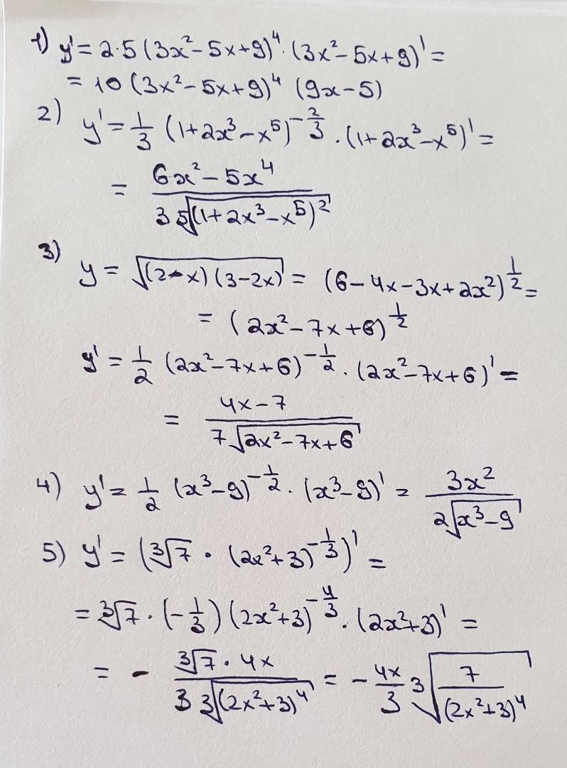
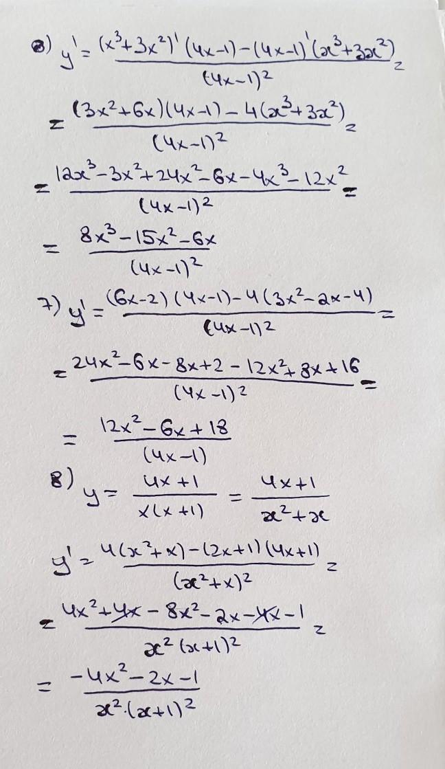
решение на фотографиях
Приложения:


bayer123:
@Miroslava227 Помоги с математикой пожалуйста.
Вас заинтересует
2 года назад
2 года назад
2 года назад
8 лет назад
8 лет назад
9 лет назад
9 лет назад