• Предмет: Алгебра
  • Автор: aboba2281488
  • Вопрос задан 3 года назад

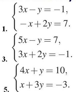
решите плиз пажавуста​

Приложения:

Ответы

Ответ дал: igumenshcheva01
1

Ответ:

Объяснение:

вот

Приложения:
Вас заинтересует