• Предмет: Алгебра
  • Автор: aboba2281488
  • Вопрос задан 3 года назад

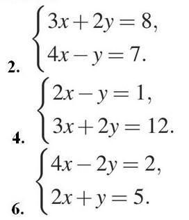
решите плиз пажожда пажалуйста​

Приложения:

Ответы

Ответ дал: dasenkadombrovskaa15
0

Ответ:

Все подробно на листочке

Приложения:
Вас заинтересует