• Предмет: Математика
  • Автор: qwerty109qwerty109
  • Вопрос задан 3 года назад

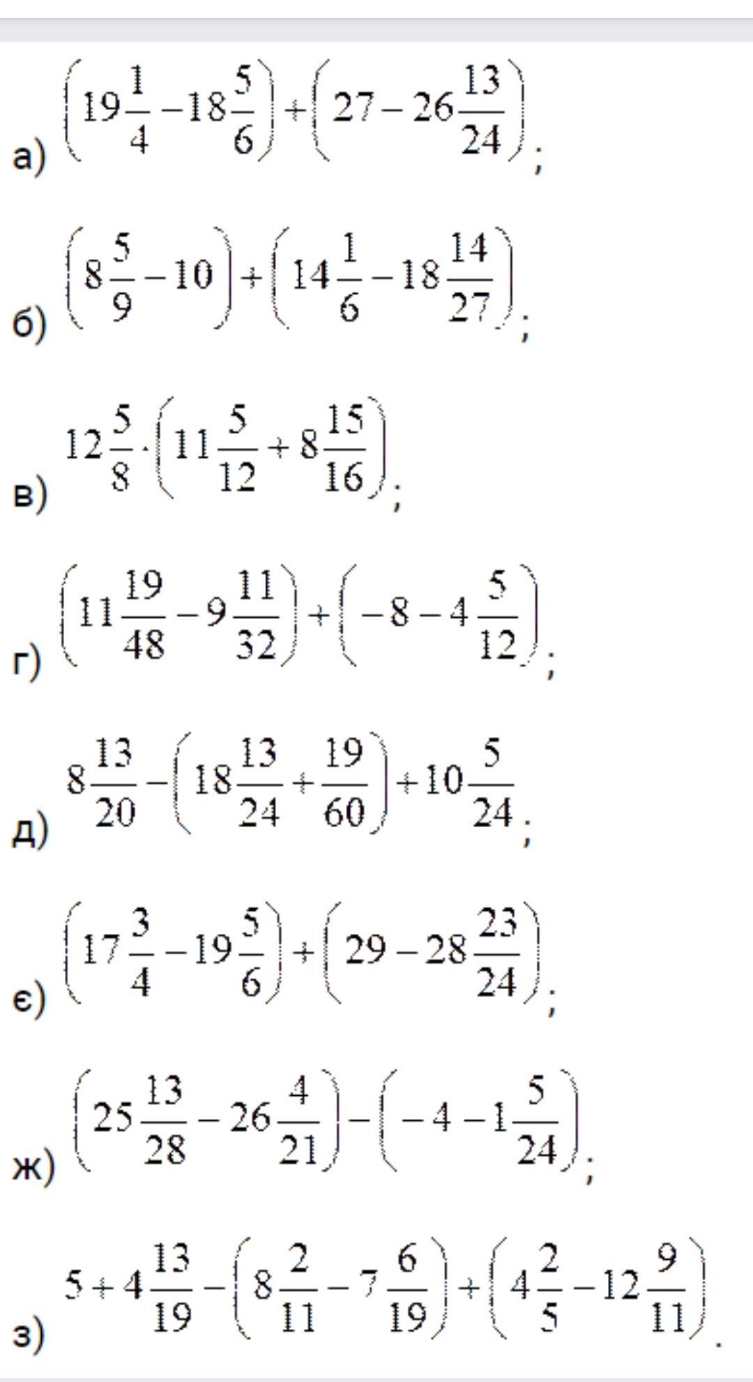
Просто скажите пожалуйста, цифры, сколько будет, можно в калькуляторе посчитать но я не могу​

Приложения:

Ответы

Ответ дал: nazarholov716
2

Ответ:

Знаю точно первое на 100000%7/8

Пошаговое объяснение:

Photomath


nazarholov716: не благодари
Ответ дал: bophloya
1

Ответы указаны на фото.

Приложения:

qwerty109qwerty109: Спасибо, лучший ;)
bophloya: Спасибо!
Вас заинтересует