Ответы
Ответ дал:
2
Ответ:
ответ на фотографиях.........
Приложения:

Ответ дал:
2
Ответ:
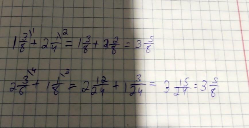
1+2
=3
=3.625; 2
+1
=3
=3.625
Пошаговое объяснение:
1+2
=1
+2
=3
=3.625
2+1
=2
+1
=3
=3.625
Вас заинтересует
2 года назад
2 года назад
2 года назад
8 лет назад
8 лет назад