• Предмет: Математика
  • Автор: АлЁнКо2002
  • Вопрос задан 3 года назад

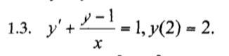
дифференциальное уравнение первого порядка

Приложения:

Ответы

Ответ дал: nuraiaskar86
0

Ответ:

Пошаговое объяснение:

=2

Вас заинтересует