помогите очень прошуу
разложите на множители:
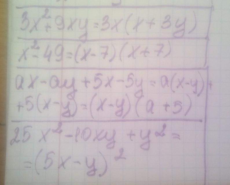
а) 3x^2+9xy=
b)x^2-49=
c)ax-ay+5x-5y=
d)25x^2-10xy+y^2=
Ответы
Ответ дал:
1
Ответ:
решение смотри на фотографии
Приложения:

Вас заинтересует
2 года назад
2 года назад
8 лет назад
9 лет назад