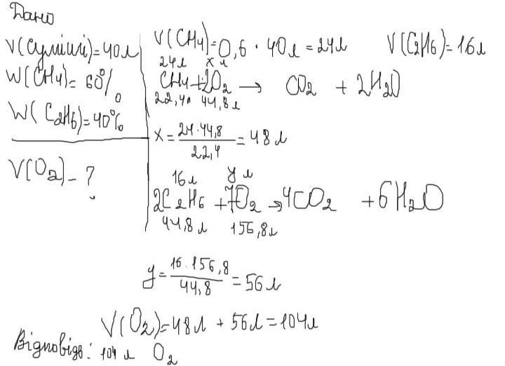
Обчислити об‘єм (л) кисню, що потрібен для спалювання 50 л суміші, яка містить 40% ацетилену і 60% етану.
Ответы
Ответ дал:
15
Ответ:
посмотри, тут немного другие цифры но можно заменить на данные. Это как пример.
Объяснение:
Надеюсь помог
Приложения:

yanchukn09:
Очень помог спасибо
Вас заинтересует
2 года назад
2 года назад
8 лет назад
9 лет назад