• Предмет: Математика
  • Автор: aleyna15
  • Вопрос задан 3 года назад

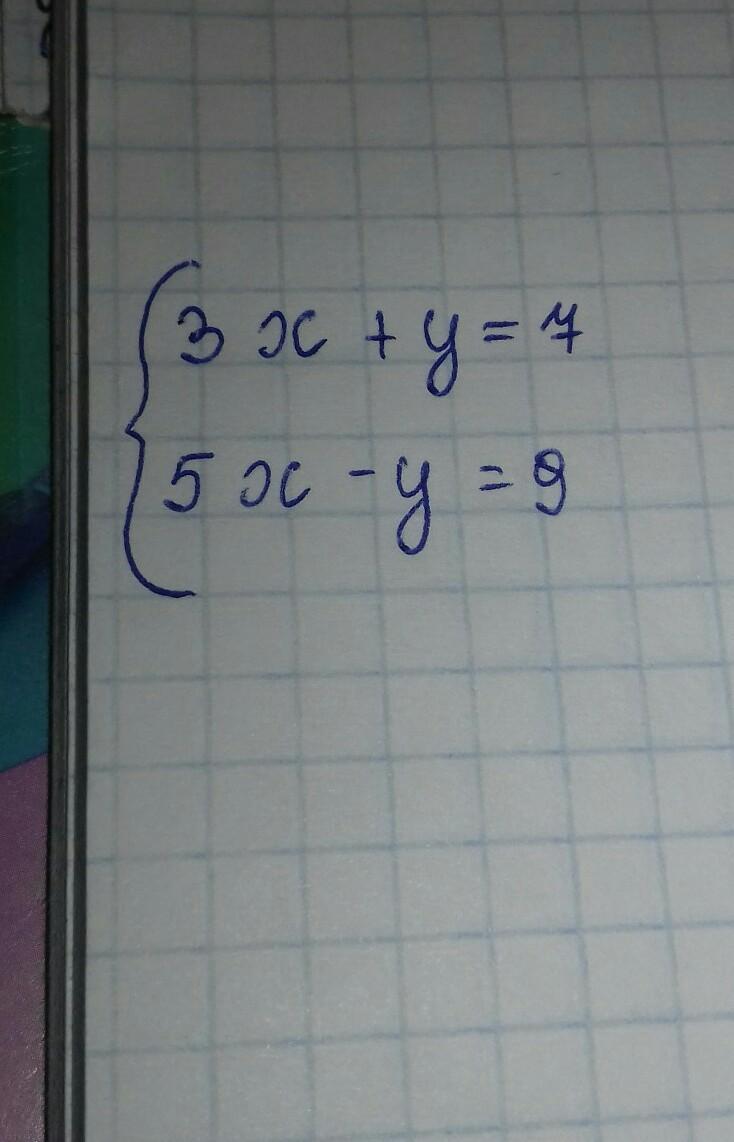
Система уравнений.
Помогите пожалуйста ​

Приложения:

Ответы

Ответ дал: andzavka
2

Ответ:

складываем получаем

8x=16

x=2

полсавляем во второе

3*2+y=7

6+y=7

y =1

Ответ дал: serafim2008labur
0

Ответ:

8х=16 х=2

3х+у=7 у=1

Пошаговое объяснение:

Вас заинтересует