• Предмет: Алгебра
  • Автор: andres19
  • Вопрос задан 10 лет назад

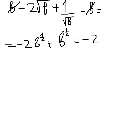
Сократить дробь 
b-2√b+1÷√b-b

Ответы

Ответ дал: Helen001
0
Если я все правильно поняла конечно
Приложения:
Ответ дал: gudiniwow
0
он имел в виду, что деление - черта дроби)
Ответ дал: andres19
0
Черта дроби
Ответ дал: gudiniwow
0
Вот решение......................
Приложения:
Вас заинтересует